


TESLA 500 GeV parameters TESLA 800 GeV parameters


superconducting solid Nb cavities
E(acc) ~ 25 MV/m, T=2K
Long RF pulses ( ~ 1 ms)
low RF peak power (200 kW/m)
long bunch train with large interbunch
spacing

Low RF frequency (1.3 GHz)
small wakefields
The TESLA acceleration structures:
Overall design compatible with E(cms) = 91 .... 800 GeV
baseline design and parameters for 500 GeV
| module geometry | module length | V(acc) | Fill factor | RF/modul e |
|---|---|---|---|---|
| 9−cell structure | 1.04 | 23.40 | 78.00% | 219 |
| 4x7 superstructure | 3.23 | 22.00 | 89.00% | 675 |




TH 1801 multi beam Klystron
Is now being used at the TTF LINAC

Problem: Cavity deform under the Lorentz force at high gradient
first successful test on cavity C45 at 20 MV/m
solution:
active compensation
using piezo−crystal
l = 39mm V(max)= 150 V f(max) = 500 Hz 

piezo actuator Since observation of first lasing:



Smaller wavelength
better reproducibility
higher brilliance










What is the origin of the symmetry breaking in the electroweak sector
Which mechanism gives mass to fundamental particles?
why 3 generations? CP violation? Mixing
Papers: Once "signals" are found:







� Determine mass and width
� measure quantum numbers J PC
� determine the couplings to fermions (mass)
measure Higgs self
�
the potential
� separate SM Higgs from SUSY Higgs or other models

Alternative channel: WW fusion
Main interest: determine the width of the Higgs Boson:

Method 120 GeV 160 GeV WW 0.061 0.140
Polarisation of lepton beam is very
γγ 0.230
important to turn on / off the SM backgrounds

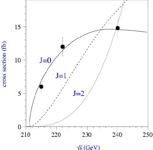
Have to determine the quantum numbers of the Higgs particle
Spin J
Study the nature of the candidate (SM, MSSM, ...)
Threshold behaviour � if light Higgs is not found: return to lower energies as a first step!





� redo the indirect Higgs "limits"
using GIGA Z:
� get much more stringent information
� if there is an inconsistency somewhere,
it will show up here

Finding the Higgs Boson

Measuring total width, couplings

Measure the quantum numbers
explore the Higgs potential � is there a structure below the known one


new heavy Z
�
� Leptoquarks? � exotic spin 2 exchange particles? � ...
+−
� best studied in the reaction: e e
f f


� key to Supersymmetry: � discovery � spectroscopy to select the correct model
� in "all" models: expect at least some of the SUSY partners at few 100 GeV ("no loose theorem",

nearly model
)
spectacular signals for SUSY partners if in the kinematic reach at LC
�

precision measurements allow the extrapolation to high energies with good precision: learn about the high energy behaviour use this to distinguish models Mass reach of LHC larger


precision reach of LC better (if within mass reach) access to anything beyond the mass essentially only at LC
separation of different SUSY particles difficult at LHC
Remark: polarisation of lepton beams is an important ingredient to determine the sparticle properties




polarised electron
using electrons from TESLA
use low intensity electron bunches in between the HEP bunches: no interference to HEP running
proj
spin

reach in x
�





TPC: Time Projection Chamber
large gasfilled system little material true 3−D reconstruction possible large granularity

� calorimeter at E>500 GeV will be very important � TESLA concept:
a high precision, "tracking" calorimeter
2
W absorbers, SI sensors (1x1 cm pad)



� a linear collider with E= 500 to 800 GeV offers a rich physics program
� EWSB: major insights expected � Higgs precision measurements � SUSY (or similar) precision study � model independent search for alternative scenarios
� many precision measurements to significantly extend our present knowledge � electroweak precision measurements � W mass measurement � top mass and properties � QCD physics � ....
� a linear collider will also search for the totally unexpected � substructure? � completely new physics: extra dimensions? � ...

� electron beam is sent through undulator � coherent emission of laser light:


First lasing at <100 nm observed 02
�

First lasing at <100 nm observed 02
�
Smaller wavelength tunable wavelength

Brilliance of different sources:
TESLA FEL SLAC FEL
expected Photon Flux for XFEL
current



� atomic physics, interaction with matter, plasmaphysics
intensity, short pulses
� femtosecond chemistry, structural biology
short pulses
� spectroscopy: dynamics of complex systems, holography on a atomic scale
coherent lightsource



A linear electron positron collider has an exciting physics program:
Physics at the free electron laser


� Under construction: Tesla Test Facility Phase TTF II
Goal: −demonstrate the superconducting technology (TTF I, done) − demonstrate the SASE principle in the <100nm range (done) −gain experience operating a superconducting linac and FEL −>2003: user facility for Roentgenlaser








